土方量计算的基本方法
土方量计算的基本方法
土方量计算的基本方法有平均高度法 和平均断面法 两种。
平均高度法
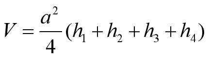
四方棱柱体法:将施工区域划分为若干个边长等于a 的方格网,每个方格网的土方体积 V 等于底面积 a2 乘四个角点高度的平均值,即:


三角棱柱体法:将每一个方格顺地形的等高线沿对角线划分为两个三角形,然后分别计算每一个三角棱柱体的土方量。

平均断面法


标签:
土方量计算的基本方法
土方量计算的基本方法有平均高度法 和平均断面法 两种。
平均高度法
四方棱柱体法:将施工区域划分为若干个边长等于a 的方格网,每个方格网的土方体积 V 等于底面积 a2 乘四个角点高度的平均值,即:


三角棱柱体法:将每一个方格顺地形的等高线沿对角线划分为两个三角形,然后分别计算每一个三角棱柱体的土方量。

平均断面法


标签:
空军一号超全配色,好看又百搭,情侣穿搭也很好配哦 (图片来自小红书,如有侵权,请联系作者删除)...
可以喝的水球Ooho 三年前,三名伦敦工业设计学生,想出一种不同的饮水方式,还获得米兰设计周的“Lexus设计奖”。他们设计出像是个小水珠的饮水球“Ooho”,外表晶莹剔透,可以自...
锦州站—锦州南站—锦州湾国际机场公交发车时间、站点、路线图 欢迎点击上方关注“锦州微资讯”↑↑↑ 锦州站——锦州南站——锦州湾国际机场 站点: 锦州站—锦州八中—交通银...
H1Z1北美区锁区了吗?延迟高于150不能进?锁枪数值呢? 自22号H1Z1进行临时更新后,很多小伙伴都发现北美区发生了一些变化。目前IP归属地为大陆范围的小伙伴已经无法通过裸连/直连...
“讨价还价”用英语怎么说? 今日词汇 最难音 phone [fon] n. 手机 Nokia [nokɪə] n.诺基亚(一个手机品牌的名称) throw (w)in [θro] v. 搭送 haggle [hæɡl] v. 争论, 讨价还价 warranty [wɔrənti...
中国歼-10战斗机概况 歼-10战斗机(英文:J-10或F-10,北约代号:Firebird,译文:火鸟),是中国中航工业集团成都飞机工业公司从20世纪80年代末开始自主研制的单座单发第四代战斗机。...
如何挑逗让女人呻吟不断 女人身上有无数个敏感带吗 如何挑逗让女人呻吟不断,女人身上有无数个敏感带吗,如何激发女性的敏感地带,女人在床上的呻吟声是男人最好的鼓励声音,...
为了情人离婚了,他和老婆又好了怎么办 我为了他离了婚,自己一人带着孩子。可我等了他四年,他都没娶我!就在我怀孕的时候,他正带着他老婆旅游…如今他俩的二胎马上出生了…...
为何称比利时欧洲红魔?大连一方祝贺卡拉斯科入选世界杯大名单 北京时间6月4日,“欧洲红魔”比利时国家队对外公布了世界杯23人名单。大连一方外援卡拉斯科成功入选,这是令大...
男人拉黑女人是恨吗?男人执意拉黑你的原因分析! 有人问:男人拉黑女人是恨吗?你是怎么看的?在我看来男人拉黑拉黑女人可能不全是恨,还有其他的原因!所以今天我们就来聊聊...
女人贪欲强的表现(女性干涩没水用什么可以改善) 小伙伴们好丫,又见面啦~这里是小七。 今天我们来聊一聊女人 贪欲 强的表现 如何应对 贪欲 强的女人?: 女人 贪欲 强的表现:...
天堂鸟的养殖方法和注意事项,学会养护技巧,叶片肥绿窜老高 天堂鸟也叫鹤望兰,株型坚硬挺拔,花朵像展翅的飞鸟,极具观赏价值,备受人们喜爱的网红植物。下面整理了天堂鸟的...
破冰船是如何破冰的? 随着船舶技术的创新发展,一些特种船只也逐渐走入人们的视野,其中破冰船的破冰原理最有意思,但很多人都不知道破冰船是如何破冰的。本期文章就说说破冰...
世界杯解说洪钢搞错足球常识,这完全是笑话级别的解说 英格兰与哥伦比亚的世界杯1/8决赛,央视解说洪刚在加时赛中就同一问题多次出现解说错误——他竟然将加时赛时间当成只有...
什么情况下公务员政审无法通过呢?来看这些案例 通过公务员面试,就已经踏入体制内一只脚了,但后续的政审环节还有很多同学没办法通过,这篇文章就和大家分析一下政审没过的案...
女性高潮时为什么会呻吟?女人性高潮呻吟的原因 女生在做ai的时候会情不自禁的发出一些声音,而大部分男人都喜欢听 女人 的叫床声,这是属于性快感 高潮时 的表现形式之一,那么...
步步换有人收到礼物吗 是真的而且没有快递费 步步换有人收到礼物吗?步步换是微信上的一款小程序软件,和步数宝一样性质的哦,那么小程序步步换真的能兑换礼物吗,需不需要快递...
张艺兴整容?看看他的童年照,看看最后一张最有说服力 俗话说人红是非多,如今的张艺兴红的是不要不要的,尤其是参加了极限挑战,最近张艺兴整容的传闻甚嚣尘上。那么,正在向...
薛之谦的新歌你听过几首?网友听后齐呼“睡不着” 薛之谦的新歌一上线,便迅速占领各大热搜榜。即使之前有很多负面新闻,可是他的才华一直没有被大家否定。每个人的歌单应该都...
网名|好听不易撞的女生网名 青衫烟雨 盛开的彼岸花 爱在西元前 花淡纱窗残月明 许你春秋 黒木明纱 摘个星星吗 泠鸢 一笑醉人间 月出撒江河 月归宫阙夕已去 在水伊人 演尽了悲欢...